Theoretical comparison of thermodynamic parameters, NMR analysis, electronic properties of Boron Nitride and Aluminum Nitride nanotubes

Document Type : Reasearch Paper

Authors

1 Department of Chemistry, Islamshahr Branch, Islamic Azad University, Islamshahr, Iran.

2 Department of Chemistry, Varamin-Pishva Branch, Islamic Azad University, Varamin, Iran.

Abstract

In this research, geometrical structures of armchair single walled boron nitride nanotube (SWBNNT) and armchair single walled aluminum nitride nanotube (SWAlNNT) were optimized by Density Functional Theory (DFT) in the gas phase, both having the same length of 5 angstrom and n=9, m=9. B3LYP/6-31G* level of theory have been used to determine and compare electronic properties, natural charge and chemical shielding tensors of nanotubes. The chemical shielding tensors were calculated using GIAO method to obtain structural information and dynamic behavior for optimal boron nitride and aluminum nitride nanotube structures. Also, thermodynamic functions for the boron nitride nanotube (9, 9-5) and the aluminum nitride nanotube (9, 9-5) in the gas phase were carried out with using the B3LYP method and 6-31g* basis set. It is significant that all of NMR parameters and geometrical properties of both nanotubes were determined in 5 layers.

Keywords

Main Subjects


INTRODUCTION

After discovering of carbon nanotubes (CNT) by Iijima [1], Nanotubes were considered because of their structural properties, and unique electric, physical and chemical characteristics. After that, a variety of other non-carbon nanostructures, such as boron nitride (BN), and aluminum nitride (AlN) nanotubes, silicon carbide (SiC), zinc oxide (ZnO) have been synthesized experimentally [2-5]. Boron nitride nanotubes (BNNT) and Aluminum nitride nanotubes (AlNNT) have unique properties and chemical stabilities at high temperatures. BNNTs are excellent candidates for biological and medical application [6]. Boron nitride (BN) nanostructures such as nanotubes [7], Nano capsules [8], and fullerenes have received much attention as promising materials for the electronic industry because of their unique structures and properties. For the first time, BNNTs were predicted theoretically by Rubio and colleagues in 1994 [9] and were synthesized in 1995 by Chopra et al., [10] in the form of pure boron nitride nanotubes. Due to its chemical, optical, electrical, mechanical properties and higher thermal conductivity, it is considered as a known substance in the polymer industry, medicine, electronics and electricity [10-11]. This Nano structure is structurally similar to a pure carbon system. BNNTs and carbon nanotubes (CNTs) are isoelectronic. The sum of atomic numbers of boron and nitrogen is equivalent to the atomic number in the two carbon atoms. Therefore, due to the number of electrons, there is great similarity between carbon nanotubes and boron nitride nanotubes. Since CNTs exhibit different properties due to changes in chirality, controlling the synthesis of these nanotubes is very difficult. Therefore, BNNTs that their properties are independent of chirality changes can be suitable alternative to CNTs [12-13]. The properties of BNNTs do not show much dependence on chirality changes. Therefore, structural study and identification of its properties are of great importance. Unlike carbon nanotubes (CNTs), which are metallic or narrow band-gap semiconductors, BNNTs are wide-gap semiconductors with a value of ~5.5 eV [14]. AlN nanotubes are usable for ultraviolet LEDs. Inefficient emission at 210 nm was achieved on AlN nanotubes. AlNNTs have also been discovered to be semiconductors with a wide band gap (ranging from 2.84 to 3.95 eV) [15]. Unlike BNNTs, AlNNTs increases the band gap with its diameter, but depends only slightly on the chirality [16-19]. Furthermore, interactions between AlNNT/BNNT and gas molecules such as H2, O2, CO2, etc., have already been reported [20-21]. Recently, many cases of AlNNTs and BNNTs reactions with other materials have been reported [22-23]. Nature of Interaction between Semiconducting Nanostructures and Biomolecules such as DNA Molecules has been studied [24].

AlNNT/BNNTs have many similar physical properties and structural characteristics [25]. The results on the synthesis of LD boron nitride materials have been reported but most attention on special CVD technique which requires high temperatures (>1000 °C) and ultrahigh vacuum (UHV) for the production of BNNs [26-27]. Synthesis of BNNs under such conditions may cause serious stresses between the substrate and the BNNs as well as significantly increasing the cost of production [28-29]. The application of pulsed laser plasma deposition (PLPD) technique for the synthesis of BNNs [30] and their use as UV detectors [31-32] and gas sensors [33] was reported. In recent decades, III-V semiconductors have gained extensive attention due to their various potential applications. It is noteworthy that semiconductor materials with a wide band gap can be doped with impurities that change its electronic properties in a controllable way. These materials are classified according to the periodic table groups of their constituent atoms [٣٤-٣٦].

In this study, we focused on the structural and dynamic properties of two nanotubes. So that geometrical structure, thermodynamic functional and NMR analysis by using Density Functional Theory (DFT) calculations at B3LYP/6-31G* level of theory in gas phase for BNNT and AlNNT (9,9-5) nanotubes into 5 layers have been investigated and compared.

COMPUTATIONAL DETAILS

In this research, the initial design of the boron nitride nanotube (9, 9) with length of 5 angstrom was performed using the nanotube modeler software (A program for generating xyz-coordinates for Nanotubes and Nanocones, and can also be used to generate some INTs: B-N, Ga-N, Al-N, Al-P and Ga-P) [37]. The quantum chemical calculations were carried out using the Gaussian 09W program package [38]. All of structures were optimized using the Density Functional Theory (DFT) method. DFT calculation accounts for the correlation energy in computationally efficient manner and offers a substantially improved accuracy over conventional approaches and it has become popular for molecular applications [39-40]. At the first step each of the considered pure models of BNNT & AlNNT was allowed to fully relax during the geometrical optimization. The geometries were optimized at the B3LYP/6-31G* level of theory. Then the values of thermodynamic functions [41] of BNNT and AlNNT nanotubes (9, 9) with a length of 5 angstrom in the gas phase and the related frequency calculations and NMR parameters are calculated at the B3LYP/6-31G* level of theory [42-44]. By comparing the values of the calculated parameters, the properties of these compounds have been studied. Finally nuclear magnetic resonance (NMR) parameters at the 11-B, 27-Al and 15-N nuclei of the optimized structures have been calculated. Nuclear Magnetic Resonance (NMR) properties including isotropic and anisotropic chemical shielding tensors (CSI and CSA) are among the important elements in the study of the reactivity and structural properties of chemical compounds by quantum mechanical calculations [45]. Subsequently, chemical shielding tensors (CSI and CSA) have been calculated for the optimized structures at the same level of the theory based on the gauge included atomic orbital (GIAO) approach [46]. These calculations have carried out at the GIAO/B3LYP/6-31G* level of theory, one of the best compromises between accuracy and computer time [44]. Since quantum chemical calculations yield the chemical shielding tensors in the principal axes system (PAS) (σ33>σ22>σ11) they have been converted to CSI, CSA uses (Eqs. 1 and 2) respectively.

RESULTS AND DISCUSSION

The main reason for choosing boron nitride and aluminum nitride nanotubes is their interesting properties compared to carbon nanotubes. For example, conductivity in these nanotubes, unlike carbon nanotubes, does not depend on the type of nanotube. The optimal geometrical structure of boron nitride (Fig. 1a) and aluminum nitride (Fig. 1b) nanotubes in the form of 5 layers at B3LYP/6-31G* level are shown in Fig. 1. The values of the electronic energy for BNNT (9,9-5) and AlNNT (9,9-5) are -3608.697 and -13399.574 hartree, respectively.

The values of the bond length of both nanotubes are shown in Table 1. As the table data specifies, the bond length of the outer layers such as 1 and 5 or 2 and 4 are similar. Also, the bond lengths of connector bonds between two layers that have the same position are the same values.

Thermodynamic Functions in Gas Phase

Thermodynamic parameters [41] for the BNNT (9,9-5) and also the AlNNT (9,9-5) in the gas phase were carried out using the B3LYP method and 6-31g* basis set. Sum of electronic and zero-point Energies (Eel+ZPE), Sum of electronic and thermal Energies (Eel+T), Sum of electronic and thermal Enthalpies (Eel+H), Sum of electronic and thermal Free Energies (Eel+G), and entropy (S) are shown in Table 2. Given the values of the thermodynamic parameters, it can be seen that the AlNNT (9,9) is more stable than BNNT.

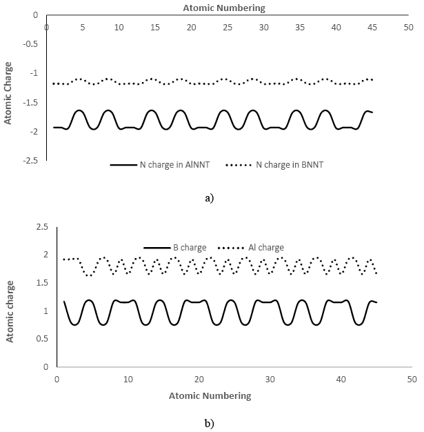
Atomic charges of the boron, aluminum and nitrogen atoms in AlNNT and BNNT are shown in Fig. 2. Clearly, the contribution of the negative charge of nitrogen atoms in the aluminum nitride nanotube is higher than the negative charge of nitrogen atoms in the boron nitride nanotubes, since electronegativity of the boron atom is greater than that of the aluminum atom.

NMR Parameters

NMR spectroscopy is a powerful technique for studying the structural and dynamic behavior of molecules in different physical states. Theoretical study of nuclear magnetic resonance properties can be accomplished using advanced methods of quantum mechanics. The NMR parameters calculated by the quantum mechanics method [42-44] have an effective role in investigating the molecular structure of the compounds used. There are several ways to determine the NMR parameters such as Gauge-Including atomic orbitals (GIAO), Individual gauge for localized orbitals (IGLO), Localized orbitals local origin (LORG), Continuous set of gauge transformations (CSGT). In this research, the chemical shielding (CS) tensors were calculated using GIAO method to obtain structural information, dynamic behavior, and intermolecular interactions for optimal boron nitride nanotube and aluminum nitride nanotube. Chemical shielding (CS) tensors includes chemical shielding isotropic (CSI) tensor and chemical shielding anisotropic (CSA) tensor are calculated according to equations (1-9) [42-44]:

Chemical shielding tensors (CS) are described using parameters (Ω) and (k) and (∆ó) and (ç) [42-44].

 (6)

Where (ç) is asymmetry parameter, (σiso) chemical shielding isotropy, (Δó = σaniso) chemical shielding anisotropy, (Ω) span that describes the peak width and (k), skew that describes the peak shape and (δ) is chemical shift anisotropy. The range of asymmetry parameter changes is 0 ≤ η ≤ + 1, for skew is -1 ≤ k ≤ +1 and for span is Ω ≥ 0 [42-44].

and if:

 

Nuclear magnetic resonance (NMR) parameters of 45 nucleus boron and 45 nucleus nitrogen in armchair BNNT (9, 9) and 45 nucleus Aluminum and 45 nucleus nitrogen in armchair AlNNT (9, 9), both having length of 5 angstrom, were investigated at GIAO method and B3LYP/6-31G* level of theory and the results are shown in Tables 3 and 7.

The calculated chemical shielding isotropic (CSI) parameters in the BNNT and AlNNT nanotubes divide the nucleus into 5 layers in terms of the electrostatic medium. So that in each layer, the CSI values for its nuclei is approximately the same. CSI parameters of all of boron and nitrogen atoms in BNNT into 5 layers are shown in Tables 4 and 5 respectively and CSI parameters of hydrogen atoms of two edge of BNNT are shown in Tables 6. It is significant that the atomic labels of each layer and also two edges are also indicated in three Tables.

Generally, in symmetric locations of the BNNT and AlNNT (Fig. 1), such as (1, 5) or (2, 4) layers, in each pair of layers the atoms nuclei have the same CSI values. For example, in layers 1 and 5, which are exactly at the end of the BN nanotube, boron nuclei have the same electrostatic medium and σiso equal to 81 ppm. Also, in layers 2 and 4 the boron nuclei have σiso equal to 84 ppm. This means that the shielding of boron nuclei in (2, 4) layers are the highest while this is the minimum at the end of the nanotube.

The calculated chemical shielding isotropic (σiso) parameters in the AlNNT nanotube divide the nucleus into 5 layers in terms of the electrostatic medium. Chemical shielding isotropic of aluminum nuclei Checked out and aluminum nuclei are examined in the same way as boron nuclei in the 5 layers form. So that (1, 5) or (2, 4) pair of layers, the aluminum nuclei have the same CSI values. According Table 7, chemical shielding isotropic of aluminum nuclei in the layer 3 is the highest and equal to (σiso) = 458 ppm.

Chemical shielding isotropic parameters of all of Al and N atoms in AlNNT into 5 layers are shown in Tables 8 and 9 respectively and CSI parameters of hydrogen atoms of two edge of BNNT are shown in Tables 10. It is noteworthy that the atomic labels of each layer and also two edges are also indicated on three Tables.

As we know, the reason for the replacement of the boron nitride nanotubes instead of the carbon nanotubes is that the sum of atomic numbers of boron and nitrogen is equal to the sum of the atomic numbers of the two carbon atoms. But the main difference between boron and nitrogen atoms is the presence of a non-bonded electron pair in the nitrogen valence layer while there is a shortage of electrons in the boron valence layer. And this is the reason why two nuclei behave differently in the boron nitride nanotubes. According to the above, the nitrogen nuclei in the (1,5) edge layers have the highest (σiso), while the value of (σiso) is the lowest for boron atoms in the edge layers. And nitrogen nuclei in the (2, 4) layers have the lowest (σiso). This is in contrast to boron nucleus. This refers to the acidic properties of boron atoms and the alkaline properties of nitrogen atoms. In the comparison mode, the layer that chemical shielding of boron nucleus is higher than previous layer, chemical shielding of nitrogen nucleus is lower than previous layer.

CONCLUSIONS

In this research, h-BNNT and h-AlNNT armchair nanotubes with n= 9, m= 9 and length of 5 angstrom and consisting of 27 hexagonal loops were selected. Because the presence of B-N and Al-N polar bonds compared to non-polar C-C bonds, these compounds are more suitable for studying the absorption of other compounds. The results of quantum mechanical calculations at B3LYP/6-31G* level show the structural properties and reactivity of boron nitride B45H36N45 and aluminum nitride Al45H36N45 single-wall armchair nanotube. NMR results also confirm the activation and reactivity of the nanotube edges in comparison with the intermediate layers for reaction with electrophilic and nucleophilic molecules. In general, the examination of NMR parameters in different layers shows the non-homogeneous of the electrostatic medium throughout the nanotube, especially on the two edges.

ACKNOWLEDGMENTS

The authors gratefully acknowledge the financial and other support of this research, provided by the Islamic Azad University, Islamshahr Branch, Islamshahr, Iran.

CONFLICT OF INTEREST

The authors declare that there is no conflict of interests regarding the publication of this review article.

 

[1]         Iijima S., Brabec C. J., Maiti A., Bernholc J., (1996), Structural flexibility of carbon nanotubes. J. Chem. Phys. 104: 2089-2095.
[2]         Anderson T. J., (2015), Ultraviolet detector based on graphene/SiC heterojunction. Appl. Phys. Express. 8: 41301-41306.
[3]         Zhang Z., Guo W., Yakobson B. I., (2013), Self-modulated band gap in boron nitride nanoribbons and hydrogenated sheets. Nanoscale. 5: 6381–6387.
[4]         Feng P., (2014), Fringe structures and tunable bandgap width of 2D boron nitride nanosheets. Beilstein J. Nanotechnol. 5: 1186-1192.
[5]         Soltani A., (2008), 193 Nm deep-ultraviolet solar-blind cubic boron nitride based photodetectors. Appl. Phys. Lett. 92: 53501-53506.
[6]         Ben Moussa A., (2009), Recent developments of wide-bandgap semiconductor based UV sensors. Diam. Relat. Mater. 18: 860–864.
[7]         Zhao M., Xia Y., (2003), Stability and electronic structure of AlN nanotubes. Phys. Rev. B. 68: 7-10.
[8]         Narita I., Oku T., (2003), Effects of catalytic metals for synthesis of BN fullerene nanomaterials. Diamond Relat. Mater. 12: 1146-1150.
[9]         Rubio A., Corkill J. L., Cohen M. L., (1994), Theory of graphitic boron nitride nanotubes. Phys. Rev. B. 49: 5081-5084.
[10]     Chopra N. G., Luyken R. J., Cherrey K., Crespi V. H., Cohen M. L., Louie S. G., Zettl A., (1995), Boron Nitride Nanotubes. Science. 269: 966-967.
[11]     Blasé X., Rubio A., Louie S. G., Cohen M. L., (1994), Stability and band gap constancy of boron-nitride nanotubes. Europhys. Lett. 28: 335-340.
[12]     Marks L. D., Bengu E., (2001), Single-Walled BN nanostructures. Phys. Rev. Lett. 86: 2385-2387.
[13]     Demczyk B. G., Cumings J., Zettl A., Ritchie R. O., (2001), Structure of boron nitride nanotubules. Appl. Phys. Let., 78: 2772-2774.
[14]     Jiang H. X., Lin J. Y., (2014), Hexagonal boron nitride for deep ultraviolet photonic devices. Semicond. Sci. Technol. 29: 84003-84007.
[15]     Dahal R., (2011), Epitaxially grown semiconducting hexagonal boron nitride as a deep ultraviolet photonic material. Appl. Phys. Lett. 98: 211110-211113.
[16]     Zhang H. Z., Phillips M. R., Fitz Gerald J. D., Yu J., Chen Y., (2006), Patterned growth and cathodoluminescence of conical boron nitride nanorods. Appl. Phys. Lett. 88: 93117-93122.
[17]     Oku T., Koi N., Suganuma K., (2008), Electronic and optical properties of boron nitride nanotubes. J. Phys. Chem. Solids. 69: 1228–1231.
[18]     Gao R., (2009), High-yield synthesis of boron nitride nanosheets with strong ultraviolet. J. Phys. Chem. C. 113: 15160–15165.
[19]     Golberg D., (2010), Boron nitride nanotubes and nanosheets. ACS Nano. 4: 2979–2993.
[20]     Liu W., Chen G.-h., Huang X.-Ch., Wu D., Yu Y., (2012), DFT studies on the interaction of an open-ended single-walled aluminum nitride nanotube (AlNNT) with gas molecules. J. Phys. Chem. C. 116: 4957–4964.
[21]     Seif A., Torkashavand L., Mohammadi F., (2014), Oxygen decorating at the one ring and at the N-mouth of (10, 0) aluminum nitride nanotube: A DFT investigation short communication. Cent. Eur. J. Chem. 12: 131-139. 
[22]     Ju Sh. P., Wang Y., Ch. Lien T. W., (2011), Tuning the electronic properties of boron nitride nanotube by mechanical uni-axial deformation: A DFT study. Nanoscale Res. Lett. 6: 1-11.       
[23]     Sanhuang Ke, Renzhi W., Meichun H., (1994), Theoretical studies on the valence-band offsets at strained semiconductor superlattices. Acta Physica Sinica. 43: 103-109.
[24]     Wang Zh., He H.,  Slough W.,  Pandey R., Karna S. P., (2015), Nature of interaction between semiconducting nanostructures and biomolecules: Chalcogenide QDs and BNNT with DNA molecules. J. Phys. Chem. C. 119: 25965-25973.
[25]     Lin Y., Connell J. W., (2012), Advances in 2D boron nitride nanostructures: nanosheets, nanoribbons, nanomeshes, and hybrids with graphene. Nanoscale. 4: 6908–6939.
[26]     Zhang H. X., Feng P. X., (2012), Controlling band gap of rippled hexagonal boron nitride membranes via plasma treatment. ACS Appl. Mater. Interf. 4: 30–33.
[27]     Sajjad M., Morell G., Feng P., (2013), Advance in novel boron nitride nanosheets to nanoelectronic device applications. ACS Appl. Mater. Interf. 5: 5051–5056.
[28]     Shi Y., (2010), Synthesis of few-layer hexagonal boron nitride thin film by chemical vapor deposition. Nano Lett. 10: 4134–4139.
[29]     Lee K. H., (2012), Large-scale synthesis of high-quality hexagonal boron nitride nanosheets for large-area graphene electronics. Nano Lett. 12: 714–718.
[30]     Aldalbahi A., Feng Zhou A., Tan S., Feng X., (2016), Fabrication, characterization and application of 2D boron nitride nanosheets prepared by pulsed laser plasma deposition. Rev. Nanosci. Nanotechnol. 5: 79-92.
[31]     Yu J., (2010), Vertically aligned boron nitride nanosheets: Chemical vapor synthesis, ultraviolet light emission, and superhydrophobicity. ACS Nano. 4: 414–422.
[32]     Feng P. X., Sajjad M., (2012), Few-atomic-layer boron nitride sheets syntheses and applications for semiconductor diodes. Mater. Lett. 89: 206-208.
[33]     Sajjad M., Feng P., (2014), Study the gas sensing properties of boron nitride nanosheets. Mater. Res. Bull. 49: 35-38.
[34]     Aldalbahi A., Feng P., (2015), Development of 2-D boron nitride nanosheets UV photoconductive detectors. IEEE Transact. Elect. Dev. 62: 1885-1890.
[35]     Sajjad M., Jadwisienczak W. M., Feng P., (2014), Nanoscale structure study of boron nitride nanosheets and development of a deep-UV photo-detector. Nanoscale. 6: 4577-4582.
[36]     Zhou A. F., Aldalbahi A., Feng P., (2016), Vertical metal-semiconductor-metal deep UV photodetectors based on hexagonal boron nitride nanosheets prepared by laser plasma deposition. Opt. Mater. Express. 6: 3286-3291.
[37]     Newer Program Nanotube Modeler. J. Nanotube Applet. 2000.  
[38]     Frisch M. J., Trucks G. W., Schlegel H. B., Ortiz J. V., Cioslowski J., Fox D. J. F, (2009), Gaussian 09. Revision A.1, Inc.: Wallingford CT.
[39]     Parr R. G., Yang W., (1989), Density functional theory of atoms and molecules, Oxford University Press, New York.
[40] Koch W., Holthausen M. C., (2001), A chemist's guide to density functional theory, WILEYVCH.
[41] Zhi C., Bando Y., Terao T., Tang C., Kuwahara H., Golberg D., (2009), Boron nanotubeepolymer composites: Towards thermoconductive, electrically insulating polymeric composites with boron nitride nanotubes as fillers. Adv. Funct. Mater. 19: 1857-1862.
[42] Bovey F. A., Jelinski L., Mirau P. A., (1988), Nuclear magnetic resonance spectroscopy. 2nd Ed. Academic Press, San Diego, CA.
[43] Wolinski K., Hinton J. F., Pulay P., (1990), Efficient implementation of the gauge-independent atomic orbital method for NMR chemical shift calculations. J. Am. Chem. Soc. 112: 8251-8260.
[44]     Alkorta I., Elguero J., (2010), Computational NMR spectroscopy in computational spectroscopy: Methods, experiments and applications. J. Grunenberg, Ed., Wiley-VCH, Weinheim, Germany.
[45] Shahab S., Alhosseini Almodarresiyeh H., Kumar R., Darroudi M., (2015), A study of molecular structure, UV, IR, and 1H NMR spectra of a new dichroic dye on the basis of quinoline derivative. J. Mol. Struct. 1088: 105-110.
[46]   Shiri L., Sheikh D., Faraji A. R., Sheikhi M., Seyed Katouli S. A., (2014), Selectiveoxidation of oximes to their corresponding carbonyl compounds bysym-collidinium chlorochromate as an efficient and novel oxidizingagent and theoretical study of NMR shielding tensors and thermochemicalparameters. Lett. Org. Chem. 11: 18-28.