Electrospun biocompatible Gelatin-Chitosan/Polycaprolactone/Hydroxyapatite nanocomposite scaffold for bone tissue engineering

Document Type : Reasearch Paper

Authors

1 Department of Biology, Science and Research Branch, Islamic Azad University, Tehran, Iran.

2 Burn Research Canter, Iran University of Medical Sciences, Tehran, Iran.

3 Department of Biomaterial, Iran Polymer and Petrochemical Institute, Tehran, Iran.

Abstract

In recent years, nanocomposite scaffolds made of bioactive polymers have found multiple applications in bone tissue engineering. In this study composite nanofibrous structure of gelatin (Gel)/chitosan (Cs)-polycaprolactone (PCL) containing hydroxyapatite (HA) were fabricated using co-electrospinning process. To assay the biocompatibility and bioactivity of electrospun nanocomposite scaffolds, the behavior of human osteosarcoma cells (MG63) on fabricated nanofibers was evaluated using scanning electron microscopy (SEM), fluorescence microscopy analysis, measuring calcium deposits and MTT assay. The SEM micrographs at days 3 and 7 showed high cell attachment and spreading on the nanofibrous scaffolds. The MTT results demonstrated the proliferation of MG-63 cells during 10 days and the positive effect of nanofibers in comparison of cell culture plate. Considering the proliferation rate and calcification extent, the Gel-Cs-HA nanofibers reveal highest biocompatibility for osteoblast cells which could be attributed to the smaller diameter fibers and more mechanical strength in the Gel-Cs-HA scaffold.

Keywords

Main Subjects


INTRODUCTION

Bone tissue engineering, in recent years, has provided new approaches for reconstruction and improvement of the damaged hard tissues [1].

With advances in science and technology, conventional methods such as autograft and allograft being challenged due to limitations such as bone resources shortage, invasion of removal of host tissue, the risk of disease transmission, stimulate the immune system and the possibility of rejection of transplanted bone [2-3]. These issues have led to the development of bone tissue regeneration approaches such as bone tissue engineering [4].

Bone tissue engineering aims to develop scaffolds that mimic the extracellular matrix and provide mechanical support thereby aiding in the repair of damaged bone [5-7].

In native tissues, the extracellular matrix is a heterogeneous component of functional proteins and signaling molecules arranged in a specific 3D manner enriched with cellular components and a variety of growth factors, ions, and water to provide structural support to cells [8-9]. Scaffolds mimic the extracellular matrix of the native tissue; therefore, the design of the scaffold is one of the most critical parts of the tissue engineering [10].

An ideal scaffold for bone tissue engineering should be non-toxic, biocompatible and has suitable mechanical strength. Its porosity measurements provide possible growth of cells within the scaffold [11-12].

Use of ceramic and polymer in combination is a prevalent approach to produce scaffolds for bone tissue engineering because the natural bone tissue is a combination of polymer and ceramic nanocomposite [13-15]. Usually single material cannot provide often all mechanical and chemical desired properties simultaneously for a particular application.Thus, the composite material can be made to come together in one place the advantages of both components [16-17].

Among various natural polymers, chitosan has found applications in tissue engineering due to its biocompatibility, bioactivity, antimicrobial activity, biodegradability, nontoxicity and large-scale availability [18-19].

In spite of its proper characteristics, pure chitosan is mechanically weak and unstable hence it is usually combined with other polymers with biological activity, such as gelatin and hydroxyapatite [20-22].

Hydroxyapatite as the major inorganic component of human bone is a non-toxic biomaterial and has excellent biocompatibility and osteo-conductivity [23-26]. Thus, it can improve bone regeneration and hence is considered as
suitable inorganic material for the construction of composite scaffold used for bone tissue engineering [27-29].

Poly-caprolactone (PCL) is a synthetic polymer and has the properties such as stability, biocompatibility, excellent mechanical properties and low cost [30].

Although the PCL fibers mimic the identity of extracellular matrix in living tissues, its poor hydrophobic property of PCL caused a reduction in cells adhesion, migration and proliferation [31-32].

Therefore PCL is combined with natural polymers for example gelatin for enhancing of cellular responses [33].

Gelatin is a denatured form of collagen that contains cell-recognition sites that improves cell seeding and adhesion [34].

In the recent study, using different polymers (Synthetic polymers, Natural polymers), various electrospun nanofiber scaffolds were made for the bone reconstruction.

Electrospinning is a simple technique to produce nanofibrous scaffolds with controllable fiber diameters. The fibrous structure from electrospinning is similar to the natural Extracellular matrix and nanofibers show high surface area-to-volume ratio [35]. Co-electrospinning techniques, with two spinnerets, have been used in previous applications. Examples include applications designed to increase the porosity of scaffolds by co-electrospinning, improved cell attachment and creating hollow core-shell fibers [36]. We used a co-electrospinning method to spin gelatine-chitosan and PCL onto opposing needels while allowing overlap in the middle in order to create a continuous scaffold with varying ratio.

In this study, gelatin (Gel)-chitosan (Cs)/polycaprolactone (PCL) composite nanofibrous scaffolds containing hydroxyapatite (HA) were fabricated using Co-electrospinning process and the potential of the fabricated nanofibers for bone tissue engineering were evaluated.

MATERIAL AND METHODS

Materials

Polycaprolactone (Aldrich, Mw=80,000), Gelatin (type B from Sigma Aldrich) , Hydroxyapatite (Nanoshel), Chitosan (molecular weight from Sigma Aldrich), penicillin–streptomycin, ((3-(4,5-dimethylthiazol-2-yl)-2,5-diphenyltetrazolium bromide) (MTT), Trypsin-EDTA and Dimethyl sulfoxide (DMSO) were procured from Sigma-Aldrich (St. Louis, MO, USA), Dulbecco’s modified eagle’s medium (DMEM), Fetal bovine serum (FBS), Dulbecco’s phosphate-buffered saline (PBS) were procured from Gibco-BRL (Grand Island, NY).

Preparation of scaffolds

Electrospinning of scaffolds

Chitosan solution 5% (w/v) and gelatin solution 15% (w/v) were prepared by dissolving them in the co-solvent system of TFA and DCM (70:30). The two solutions were agitated overnight at room temperature to get homogeneous solutions with ratio of 50/50 w/w (gelatin/chitosan). 12% (w/v) PCL solution was prepared by dissolving the PCL granules in the solvent system of formic acid/acetic acid (9 : 1 (v/v)). Both solutions separately were added hydroxyapatite (9/1 polymer/hydroxyapatite (w/w)) and were mixed for 4 hours. To prepare Gel-Cs-HA scaffold, the solutions were poured in a 5 mL syringe and subjected to the electrospinning process using a horizontal system with a cylindrical collector covered by aluminium foil (Co881007 NYI, ANSTCO, Iran) at room temperature. The Gelatin-Chitosan/polycaprolactone nanocomposite was prepared using co-spinning process of Gelatin-Chitosan and Polycaprolactone solutions. The electrospinning of Gelatin-Chitosan nanocomposite solution was carried out at 27 kV applied voltage and 0.5 ml/hr flow rate. The distance between the needle tip and collector was set at 100 mm.

The electrospinning of PCL nanocomposite solution was carried out at 25 kV applied voltage and 1 ml/hr flow rate. The distance between the needle tip and collector was set at 125 mm [37].

To investigate the influence of PCL and Gelatin-Chitosan nanofibers ratio on nanocomposite nanofibrous scaffolds biological property, three different samples were prepared using co-electrospinning process with two and three needles.

To prepare the first sample, PCL and Gelatin-Chitosan each from one nozzle (GCPHA-11), for the second sample, PCL from two nozzles and Gelatin-Chitosan from one nozzle (GCPHA-12) and for the third sample, PCL from one nozzle and Gelatin-Chitosan from two nozzles were ejected. (GCPHA-21).

Glutaraldehyde vapor crosslinking

The cross-linking process was carried out by placing the scaffolds into a desiccator containing 10 ml of 25% glutaraldehyde (GTA) solution in a petri dish. Nanofibers were crosslinked in the GTA vapor for 1 day at room temperature. After crosslinking, scaffolds were exposed in the vacuum oven for 4 hours at room temperature to remove residual GTA and partially enhance the crosslinking.

Morphologies of fibers

The morphology and diameters of electrospun composite nanofibers were investigated using scanning electron microscopy (SEM, VEGA, TESCAN, Czech) after gold sputter coating. The average fiber diameter (AFD) data is collected from at least 50 fibers using image analysis software (Image J 1.42q, National Institute of Health, USA).

Cell culture

Cell culture studies were done with human osteosarcoma cell line (MG-63), procured from Pasteur institute of Iran. DMEM completed with 10% (v/v) fetal bovine serum was used to hold the MG-63 cells at 37° C in a humidified atmosphere of 5% CO2. Before seeding of cells, scaffolds were sterilized by 70% ethanol for 4 hours. After removal of scaffolding from ethanol, scaffolds were washing three times, each time for 30 minutes in PBS solution and were shaken gently. 100 μL of cell suspension was seeded over the scaffolds at a seeding density of 1×104 cells/well/scaffold in 24-well plate and cell-seeded scaffolds were kept at 37° C in a humidified atmosphere of 5% COfor 2 h. The medium was superseding every 48 h. After that, 1000 μL media was added to cover the scaffold surface. The medium was superseded every 48 h.

MTT assay

The cell proliferation of all different scaffolds including Gel-Chi/HA, Gel-Chi/PCL (1 : 1)-HA, Gel-Chi/PCL(1:2)-HA and Gel-Chi/PCL (2 : 1)-HA were studied by ((3-(4,5-dimethylthiazol-2-yl)-2,5-diphenyltetrazolium bromide (MTT), for different time points (1, 2, 3, 7 and 10 days). MG-63 cells (1×104 cells/well) were seeded on the scaffolds in 24-well plate. 145 μL of MTT (5 mg/mL) was added at a particular time point and incubated for 4 h at 37°C, 600 μL DMSO (Sigma-Aldrich) was added to solve the formazon crystal. The absorbance of this solution was measured at 490 and 630 nm (Dual form) using a plate reader (Bio Tek ELX 800).

Cell morphologies

To study the cell adhesion and to confirm the presence of cells on scaffolds, MG-63 cells (1×104 cells/well) were seeded on sterile scaffold for 3 and 7 days. For the SEM analysis at the end of a specific time point, cell-scaffold constructs were washed twice with PBS then was placed in 2.5% glutaraldehyde (Merck) overnight at 4° C. Before SEM, samples were dehydrated with graded ethanol from 30% to 100% (30%, 50%, 70%, 80%, 90%, 96% and 100%) then dried overnight, coated with gold and observed under SEM at an accelerating voltage of 20 kV.

DAPI staining

For fluorescence microscopy, on scaffolds, MG-63 cells (1×104 cells/well) were seeded on the sterile scaffold for 1, 2, 3, 7 and 10 days.

cell-scaffold constructs were washed twice with PBS, fixed with 4% paraformaldehyde (Sigma-Aldrich) solution (in PBS) for 10 min at room temperature and again washed twice with PBS, added 0.1 % Triton solution (in PBS) for 5 min then washed twice with PBS, to stain the nuclei added 4′-6-diamidino-2-phenylindole (DAPI, Sigma-Aldrich) for 5 min. again washed twice with PBS and images were taken using a fluorescent microscope(Olympus Fluoview, FV500, Tokyo,Japan).

Calcium deposits measurement

To evaluate osteo-stimulatory effect of scaffolds, calcium deposits assay was carried out. The calcium deposition of MG63 cells on scaffolds was measured at days 3, 7 and 10 days. At different time points, the medium was removed from the well and cell-scaffold constructs were washed twice with PBS. To extract cells from the scaffold, cell scaffold constructs placed into microtubes and 500 ml of 0.6 N HCL added to each microtube. Then the samples were spin and vortex, microtubes (Containing cell-scaffold constructs) shake for 45 minutes and amount calcium deposits was measured using a calcium kit(Pars Azmoon, Iran). The absorbance was measured via spectrophotometer at 570 nm.

Statistical analysis

Quantitative data were gathered in triple (n=3). Statistical analysis was performed using software SPSS version 20, ANOVA analysis and p values of less than 0.05 were considered significant.

RESULTS AND DISCUSSION

SEM analysis

The structure of gelatin/chitosan and PCL nanofibrous composite scaffolds with appropriate properties were prepared by electrospinning technique. Scaffolds with four different gelatin/chitosan blend ratio of 100/0, 70/30, 60/40 and 50/50 were fabricated and the influence of chitosan ratio on chemical, physical and biological properties of the scaffolds was investigated. Fig. 1 shows the SEM micrographs of the electrospun Gel/Cs-PCL-HA scaffolds with different ratio.

The morphology of electrospun scaffolds was studied under a scanning electron microscope (Fig.1A-D). The surface of all scaffolds was uniform and scaffolds were Beadless. Average fiber diameter (AFD) was measured using SEM micrographs and Image J software. The AFD results, shown in Table 1. Comparison of different scaffolds showed that the average diameter of the Gel-Cs-HA nanocomposite was lower than other scaffolds.

To study the cell adhesion behavior on scaffolds, SEM images were taken of cell-scaffold constructs after 3 and 7 days of culture time. The SEM micrograph (Fig. 2A-H) showed that MG-63 cells have appropriate adhesion and proliferation on the surface of the scaffolds. The proliferation and spread of the cells on the scaffolds at day 7 compared with day 3 was more, which was also confirmed in MTT assay.

DAPI staining

Attachment of seeded cells on scaffolds was verified using fluorescence microscopy. The fluorescence microscopic images of attached cells over the scaffolds are complementary with the SEM results. The images confirmed intact cell on all scaffolds to all days (Fig. 3 A-O). The nuclei were well attached to the surface of scaffolds. Compare days 3, 7 and 10 showed that, over time, was increased spread cell. These results supported MTT result, where the proliferation of cells at day 10 was more than the previous days. Increased cell spreading up to day 7 on PCL-Gel-HA scaffold by Bellare, J. R et al. also was shown in fluorescent microscope images [33].

MTT assay

The cell proliferation on different scaffolds was quantitatively investigated by MTT assay (Fig. 4). Equal numbers of cells were seeded on all different scaffolds and were cultured for 1, 2, 3, 7 and 10 days. This test is based on conversion of tetrazolium salt MTT by the mitochondrial dehydrogenase enzyme of active cells which produces the purple formazan. Absorbance was increased from day 1 to day 10 (Fig. 4F). Control showed the lowest cell proliferation as compared to all scaffolds in all days. At day 1 differences in cell proliferation on Gel-Cs/PCL (1 : 1)-HA scaffold was not significant as compared to the control (P-value=0.496) and Gel-Cs/PCL (1 : 2)-HA scaffold (P-value=0.111). No significant difference in cell proliferation on Gel-Cs-HA with Gel-Cs/PCL (1 : 2)-HA (P-value=0.361) and Gel-Cs/PCL (2 : 1)-HA (P-value=0.995) scaffolds was observed (Fig. 4A).

At day 2 no significant difference was observed in cell proliferation among the scaffolds (p-value > 0.242) (Fig. 4B). At the third day, the Gel-Chi-HA scaffold has been proliferation more than other scaffolds and the highly significant difference was observed in comparison with other scaffolds but There was no significant difference in cell proliferation Gel-Cs-HA scaffold with scaffolds Gel-Cs/PCL (2 : 1)-HA (P-value=0.155). Compare scaffolds Gel-Cs/PCL (2 : 1)-HA with Gel-Cs/PCL (1 : 2)-HA (P-value=0.241) and Gel-Cs/PCL (1 : 1)-HA (P-valu=0.081) showed no significant difference in the cell proliferation. At this day all the scaffolds except Gel-Cs/PCL (1 : 1) (P-value=0.114) were significantly different with control (0 < P-value < 0.037), (Fig. 4C). At day 7 Comparison of proliferation in scaffolds, Gel-Cs / PCL (1 : 2) –HA, Gel-Cs /PCL (2 : 1)–HA (p-value=0.483) and Gel-Cs-HA (p-value=1) was not significant. Cell proliferation in scaffold Gel-Chi/PCL (1 : 1)-HA was significantly lower than other scaffolds (P-value=0), (Fig. 4D). At day 10 all scaffolds showed a significant increase in cell proliferation as compared to control (p-value=0), (Fig. 4E). Cell proliferation on scaffolds Gel-Cs / PCL (1 : 2)-HA and Gel-Cs / PCL (2 : 1)-HA was not significant difference (p-value=0.224). Cell proliferation on Gel-CS-HA scaffolds compared to scaffolds Gel-Cs/ PCL (1 : 1)-HA, Gel-Chi / PCL (1 : 2) -HA (p-value=0) and Gel-CS / PCL (2 : 1)–HA (p-value=0.020) was a significant difference.

Comparison of cell proliferation on each scaffold at different days showed that the cell proliferation difference was not significant at days 1 and 2 and was significant between days 1 and 2 with days 3, 7 and 10 (Fig. 5A-D).

According to the results, Gel-Cs-HA nanocomposite compared to other scaffolds exhibited more absorbance which was indicative better proliferation and adhesion which could be attributed to the smaller diameter fibers and more mechanical strength in the Gel-Cs-HA scaffold. Because smaller size creates the larger surface and promotes cell adhesion and proliferation.

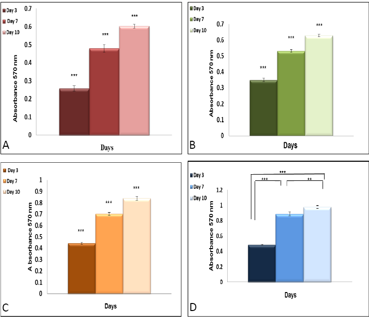
Calcium deposits measurement

Osteo-stimulatory capability in scaffolds was performed calcium deposit measurement test (Figs. 6A-D). After 3 days of cell culture results showed the difference between the amounts of calcium deposits on all scaffolds was significant (Fig. 6A). Gel-Chi-HA scaffold showed more calcium deposit than other scaffolds. At day 7, the amount of calcium deposits in all scaffolds was increased compared to the day 3 (Fig. 6B). At this day was also the highest amount of calcium deposits on the surface of the Gel-Chi-HA scaffold. Difference between Gel-Chi/PCL (1 : 1)-HA and Gel-Chi/PCL (1 : 2)-HA scaffolds were not significant (P-value=0.719).

The amount of calcium deposits on all scaffolds at day 10 was more than 3 day and 7 days. Calcium deposits on Gel-Chi-HA scaffold were significantly higher than the other scaffolds (P-value=0), (Fig. 6C). The difference between Gel-Chi/PCL (1 : 1)-HA and Gel-Chi/PCL (1 : 2)-HA scaffolds were not significant (P-value=0.407).

Comparison of calcium deposits on each scaffold at different days showed that the calcium deposits difference was significant at days 3, 7 and 10 (Figs. 7A-D).

The results showed, Gel-Chi-HA nanocomposite compared to other scaffolds exhibited more calcium deposits which were indicative better osteo-stimulatory capability.

Bellare et al. also observed increase in calcium amount from 1 day to 10 and a significant increase, when human osteoblast cells were grown on electrospun PCL-Gel-HA scaffold [33].

CONCLUSION

We fabricated Gel-Chi/PCL (1 : 1)-HA, Gel-Chi/PCL (1 : 2)-HA and Gel-Chi/PCL (2 : 1)-HA composites nanofiber via co-electrospinning. For the first time gelatin, chitosan, PCL and hydroxyapatite were combined using the co-electrospinning method. MG63 cell line was cultured on all scaffolds. SEM analysis showed surface of scaffolds was uniform. SEM analysis after cell culture confirmed the presence of cell on all scaffolds. Comparison day of 3 and 7 showed that the cells well attached and spread on scaffolds. Fluorescence microscopy analysis confirmed intact cells, on all scaffolds. MTT test results showed that cell proliferation increased to day 10 and cell proliferation on Gel-Chi-HA nanofiber scaffold was significantly more than the control and other scaffolds. Measuring the amount of calcium deposit showed that the calcium deposits increased to day 10. Most calcium deposits were on Gel-Chi-HA nanofiber Scaffold. Therefore can be concluded Gel-Chi-HA nanofiber scaffold is promising biomaterial for bone tissue engineering.

CONFLICT OF INTEREST

The authors declare that there is no conflict of interests regarding the publication of this manuscript.

 

  1.  

    1. Dimitriou R., Jones E., McGonagle D., Giannoudis P. V., (2011), Bone regeneration: Current concepts and future directions.BMC. Med.9: 66-70.
    2. Vinatier C,. Guicheux J., (2016), Cartilage tissue engineering: from biomaterials and stem cells to osteoarthritis treatments. Ann. Phys. Rehabil. Med.59: 139-144.
    3. Gordeladze J. O., Haugen H. J., Lyngstadaas S. P., Reseland J. E., (2017), Bone tissue engineering: State of the art, challenges, and prospects. In Book: Tissue Eng. Artif. Organs. 525-551.
    4. Healy K., Guldberg R., (2007), Bone tissue engineering. J. Musculoskeletal Neuronal  Interact.7: 328-332.
    5. Neves M. I., Wechsler M. E., Gomes M. E., Reis R. L., Granja P. L., Peppas N. A., (2017),Molecularly imprinted intelligent scaffolds for tissue engineering applications. Tissue Eng. Part B.23: 27-43.
    6. Eatemadi A., Daraee H., Zarghami N., Melat Yar H., Akbarzadeh A., (2016), Nanofiber: Synthesis and biomedical applications. Artif. Cells. Nanomed. Biotechnol. 44: 111-121.
    7. O'brien F. J., (2011),Biomaterials & scaffolds for tissue engineering. Mater. Today. Part B.14: 88-95.
    8. Murphy C. M., O'Brien F. J., Little D. G., Schindeler A., (2013),Cell-scaffold interactions in the bone tissue engineering triad. Eur. Cells Mater. 26: 120-132.
    9. Mouriño V., Cattalini J. P., Roether J. A., Dubey P., Roy I., Boccaccini A. R., (2013),Composite polymer-bioceramic scaffolds with drug delivery capability for bone tissue engineering.  Expert Opin. Drug Delivery.10: 1353-1365.
    10. Saehlos E., Czemuszka J. T., (2015), Making tissue engineering scaffolds work. Review: The application of solid frecform fabrication technology to the production of tissue engineering scaffolds. Eur. Cells Mater.  5: 29-40.
    11. Wu S., Liu X., Yeung K. W., Liu C., Yang, X., (2014), Biomimetic porous scaffolds for bone tissue engineering. Mater. Sci. Eng. 80: 1-36.
    12. Baino F., Novajra G., Vitale-Brovarone C., (2015),Bioceramics and scaffolds: A winning combination for tissue engineering. Front. Bioeng. Biotechnol. 3: 202-206.
    13. Swetha M., Sahithi K., Moorthi A., Srinivasan N., Ramasamy K., Selvamurugan N., (2010),Biocomposites containing natural polymers and hydroxyapatite for bone tissue engineering. Int. J. Biol. Macromol.47: 1-4
    14. Li X., Zhang S., Zhang X., Xie S., Zhao G., Zhang L., (2017),Biocompatibility and physicochemical characteristics of poly (Ɛ-caprolactone)/poly (lactide-co-glycolide)/nano-hydroxyapatite composite scaffolds for bone tissue engineering. Mater. Des.114: 149-160.
    15. Ero-Phillips O. O.,(2012), Developmentof bi-and multicomponent fibers for tissue engineering by electrospinning. Thesis: Univ. Birmingham. ID Code: 3587.
    16. Kim B. S., Yang S. S., Lee J., (2014),A polycaprolactone/cuttlefish bone‐derived hydroxyapatite composite porous scaffold for bone tissue engineering. J. Biomed. Mater. Res. Part B.102: 943-951.
    17. Rajzer I., Menaszek E., Kwiatkowski R., Planell J. A., Castano O., (2014),Electrospun gelatin/poly (ε-caprolactone) fibrous scaffold modified with calcium phosphate for bone tissue engineering. Mater. Sci. Eng.44: 183-190.
    18. Kavya K. C., Jayakumar R., Nair S., Chennazhi K. P., (2013),Fabrication and characterization of chitosan/gelatin/nSiO2 composite scaffold for bone tissue engineering. Int. J. Biol. Macromol.59:  255-263.
    19. Salati A., Keshvari H., Ahangari G., Sanati M. H., ( 2016), Process parameters optimization for tissue engineered chitosan/gelatin nanofibrous scaffolds. Biointerface Res. Appl. Chem. 6:1208-1213.
    20. Venkatesan J., Kim S.-K., (2010),Chitosan composites for bone tissue engineering-An overview. Mar. Drugs.8: 2252-2266.
    21. Thein-Han W. W., Saikhun J., Pholpramoo C., Misra R. D. K., Kitiyanant Y., (2009),Chitosan–gelatin scaffolds for tissue engineering: Physico-chemical properties and biological response of buffalo embryonic stem cells and transfectant of GFP–buffalo embryonic stem cells. Acta Biomater. 5: 3453-3466.
    22. Costa-Pinto A. R., Reis R., Neves N. M., (2011),Scaffolds based bone tissue engineering: The role of chitosan. Tissue Eng. Part B.17: 331-347.
    23. Gervaso F., Scalera F., Kunjalukkal P., Sannino S., Licciulli A., (2012),High‐Performance hydroxyapatite scaffolds for bone tissue engineering applications. Int. J. Appl. Ceram. Technol.9: 507-516.
    24. Kashiwazaki H., Yamaguchi K., Harada N., Akazawa T., Murata M., Iizuka T., Ikoma T., Tanaka J., Inoue N., (2010),In vivo evaluation of a novel chitosan/HAp composite biomaterial as a carrier of rhBMP-2. J. Hard Tissue Biol.19: 181-186.
    25. Lee J. M., Choi B. B. R., Choi J. H., Kim G. C., Hwang D. S., Chang M. C., Byun J. H., Kim U. K., (2013),Osteoblastic response to the hydroxyapatite/gelatin nanocomposite and bio-calcium phosphate cement. Tissue Eng. Regener. Med.10: 47-52.
    26. Sartuqui J., Gravina A. N., Rial R., Benedini L. A., Yahia L. H., Ruso J. M., Messina M., (2016),Biomimetic fiber mesh scaffolds based on gelatin and hydroxyapatite nano-rods: Designing intrinsic skills to attain bone reparation abilities. Colloids Surf. B.145: 382-391.
    27. Vozzi G., Corallo C., Carta S., Fortina M., Gattazzo F., Galletti M., Giordano N., (2014),Collagen‐gelatin‐genipin‐hydroxyapatite composite scaffolds colonized by human primary osteoblasts are suitable for bone tissue engineering applications: In vitro evidences. J. Biomed. Mater. Res. Part B.102: 1415-1421.
    28. Martinez-Vazquez F. J., Cabanas M. V., Paris J. L., Lozano D., Vallet-Regí M., (2015),Fabrication of novel Si-doped hydroxyapatite/gelatine scaffolds by rapid prototyping for drug delivery and bone regeneration. Acta Biomater.15: 200-209.
    29. Peter M., Ganesh N., Selvamurugan N., Nair S. V., Furuike T., Tamura H., Jayakumar R., (2010), Preparation and characterization of chitosan–gelatin/nanohydroxyapatite composite scaffolds for tissue engineering applications. Carbohydr. Polym.80: 687-694.
    30. Declercq H. A., Desmet T., Berneel E. E., Dubruel P., Cornelissen M. J., (2013),Synergistic effect of surface modification and scaffold design of bioplotted 3-D poly-ε-caprolactone scaffolds in osteogenic tissue engineering. Acta. Biomater. 9: 7699-7708.
    31. Song H. H., Yoo M. K., Moon H. S., Choi Y. J., Lee H. C., Cho C. S., (2007), A novel polycaprolactone/hydroxyapatite scaffold for bone tissue engineering. Key Eng. Mater. 342: 265-268.
    32. Wong H. M., Chu P. K., Leung F. K., Cheung K. M., Luk K. D., Yeung K. W., ( 2014),Engineered polycaprolactone–magnesium hybrid biodegradable porous scaffold for bone tissue engineering. Prog. Nat. Sci. Mater. Int.24: 561-567.
    33. Jaiswal A. K., Chhabra H., Soni V. P., Bellare J. R., (2013),Enhanced mechanical strength and biocompatibility of electrospun polycaprolactone-gelatin scaffold with surface deposited nano-hydroxyapatite. Mater. Sci. Eng.33: 2376-2385.
    34. He X., Feng B., Huang C., Wang H., Ge Y., Hu R., Zheng J., (2015), Electrospun gelatin/polycaprolactone nanofibrous membranes combined with a coculture of bone marrow stromal cells and chondrocytes for cartilage engineering. Int. J. Nanomed. 10: 2089–2099.
    35. Fu W., Liu Z., Feng B., Hu R., He X., Wang H., Wang W., (2014), Electrospun gelatin/PCL and collagen/PLCL scaffolds for vascular tissue engineering. Int. J. Nanomed. 9: 2335–2344.
    36. Ladd M. R., Lee S. J., Stitzel J. D., Atala A., Yoo J. J., (2011), Co-electrospun dual scaffolding system with potential for muscle–tendon junction tissue engineering. Biomaterials. 32: 1549-1559.
    37. Pezeshki‐Modaress M., Zandi M., Mirzadeh H., (2015), Fabrication of gelatin/chitosan nanofibrous scaffold: process optimization and empirical modeling. Polym. Int. 64: 571-580.